소셜 컴퓨팅 시스템은 사람들 간의 상호작용과 협업을 촉진하는 온라인 플랫폼을 의미한다.
대표적인 예로는 인스타, 유튜브, 틱톡 같은 소셜 미디어 플랫폼 / X, 디스코드, 레딧 등 온라인 커뮤니티 /슬랙, 노션, 깃허브 같은 협업 도구 등이 있다.
참고로 내가 생각하는 현시대의 가장 직관적인 HCI 개념은 다음과 같다.
사람의 시선을 사로잡는 근사한 인터랙티브 UI(여자친구)와 컴퓨터 Backend가 공존하니 이게 진정한 HCI 아닐까? 하하..
각설하고, 우선 나부터가 학부에서 HCI 관련 수업을 단 한 번도 들어본 적이 없기에 뭔가 참고할만한 자료가 필요했다.
Designing for AI-Powered Social Computing Systems

웹서칭을 하던 중 우연히 카이스트 인터랙션 랩에 올라와있는 2023 CSCW SIG(특별 관심 그룹) 페이퍼를 발견하여, 먼저 다뤄보도록 하겠다.
카이스트 랩 홈페이지에는 포스터로 분류되어 있지만, 실제 [CSCW '23 Companion] 원문에는 '워크숍 요약본' 형태로 참여하였음을 알 수 있다.
그러니 연구 성과 발표는 아니고, 일종의 토론 제안서이다.
Designing for AI-Powered Social Computing Systems
The CSCW community has been active in designing, implementing, and evaluating novel social computing systems. In recent years, there has been a rise in using AI to empower social interactions and the capabilities of these systems. While these implementatio
pure.kaist.ac.kr
Computer-supported cooperative work(CSCW)[1] 커뮤니티는 그동안 혁신적인 소셜 컴퓨팅 시스템을 설계, 구현 및 평가하는 데 주도적인 역할을 해왔다고 한다.
본 논문을 기준으로 2023년도부터 소셜 상호작용과 시스템의 역량을 강화하기 위해 AI를 활용하는 사례가 급증했다고 한다.
저자는 이러한 기술적 도입 속도가 윤리적·법적 체계가 마련되는 속도를 앞지르고 있는 상황에서, 지금(2023년)이야말로 AI 기반 소셜 컴퓨팅 시스템의 현주소를 성찰하고 학계를 위한 새로운 연구 어젠다를 수립해야 할 적기라고 말한다.

| [ACM Computing Classification System(CCS)[2] 컨셉] |
| 인간 중심 컴퓨팅(Human-centered computing) ➡️ HCI 이론, 개념 및 모델; 협동 및 소셜 컴퓨팅 시스템과 도구 |
인공지능의 역량이 증대되고 강력하고 접근하기 쉬운 API가 공개됨에 따라, 사용자 상호작용을 지원하기 위해 AI를 활용하는 애플리케이션의 수가 증가하고 있다.
CSCW 연구 분야에서는 인간 간의 워크플로우는 물론 인간과 AI 간의 프로세스를 향상하기 위해, 새로운 AI 기반 소셜 컴퓨팅 시스템을 제안하거나 기존 시스템에 AI를 통합하는 일련의 연구들이 진행되고 있다고 한다.
CSCW와 Conference on Fairness, Accountability, and Transparency(FAccT)[3], Conference on Human Factors in Computing Systems(CHI)[4]와 같은 관련 커뮤니티들은 AI를 현실 세계에 적용할 때 발생하는 문제점들을 활발히 연구해 왔다.
실제로 AI를 소셜 컴퓨팅 시스템에 도입하는 것은 또 다른 차원의 사회적 난제들을 만들어냈다.
| [소셜 미디어 추천 알고리즘] | [설계자의 사회적 선호와 편견이 반영된 AI] |
| 사용자들 간의 양극화 심화 | 소외 계층에 대해 불공정한 차별 |
| [생성형 AI] |
| 인간과 AI를 구별하기가 점점 더 어려워짐 + 사회적 상호작용에서 AI가 인간의 역할을 대체할 가능성 |
본 SIG에서는 다음과 같은 주제를 다뤘다고 한다.
- 이해관계자가 참여하는 AI 기반 소셜 컴퓨팅 시스템 설계 시의 핵심 고려사항과 당면 과제는 무엇인가?
- 소셜 컴퓨팅 시스템에서 AI는 어느 수준까지 사용되어야 하며, 의도된(또는 잠재적으로 의도치 않은) 결과는 무엇인가?
- 이러한 결과들을 평가하고 대처하기 위해 적절한 방법론은 무엇인가?
- 생성형 AI 모델의 등장은 소셜 컴퓨팅 시스템의 지형을 어떻게 변화시켰으며, 어떤 기회가 존재하는가?
행사가 끝난 후 SIG에서 논의된 내용을 정리하여 다양한 채널을 통해 공유할 예정이라고 적혀있었으나, 해당 내용을 찾아볼 수는 없었다. 아무래도 토론에 직접 참여한 슬랙 워크스페이스 구성원들끼리만 공유된 것이 아닐까 싶다.🤔
그래서 나는 위 토론 질문 4가지를 [AI와 HCI]를 주제로 한 다른 글에 하나씩 대입해 보기로 하였다.
The Impact of Generative AI on Social Media: An Experimental Study
The Impact of Generative AI on Social Media: An Experimental Study
Generative Artificial Intelligence (AI) tools are increasingly deployed across social media platforms, yet their implications for user behavior and experience remain understudied, particularly regarding two critical dimensions: (1) how AI tools affect the
arxiv.org
생성형 AI가 소셜 미디어 플랫폼 전반에 걸쳐 점점 더 많이 도입되고 있지만, 이것이 사용자 행동과 경험에 미치는 영향에 대한 연구는 아래와 같이 두 가지 차원에서 여전히 부족한 실정이라고 한다.
| (1) AI 도구가 소셜 미디어 맥락에서 콘텐츠 제작자의 행동에 어떤 영향을 미치는지 |
| (2) AI의 도움을 받아 생성된 콘텐츠를 사용자가 어떻게 인식하는지 |
본 연구는 소셜 미디어 환경에서 미국인 참여자 680명의 대표 표본을 대상으로 실험을 진행했다.
이들은 참여자들을 5명씩 소규모 그룹으로 나눠, 레딧과 유사한 형태의 가짜 소셜 플랫폼에서 대화를 하게 하였다.
그룹을 이룬 5명은 또 아래와 같이 나뉘었다.
- 1: AI 없이 그냥 대화 (대조군)
- 2~5: 서로 다른 AI 도구 사용
아래는 연구진들이 해당 플랫폼에 넣은 AI 기능 4가지이다.
| AI Tool | 사용 방법 |
| Chat | 사이드바에서 AI랑 자유롭게 대화 – 아이디어, 질문 등 |
| Conversation Starter | 특정 댓글에 누르면 AI가 첫 문장 제안 |
| Feedback | 댓글 쓰다가 [AI 피드백] 버튼 누르면 실시간으로 피드백 제공 |
| Suggestions | 댓글 누르면 AI가 찬성·중립·반대 각 3가지 답변 옵션 제안 |
각 그룹은 10분씩 총 3회의 토론을 진행했다.
실제 Reddit 스레드에서 가져온 서로 다른 3가지 주제가 사용되었으며, 그 순서는 무작위로 배정되었다.
- 사소한 주제: 고양이 vs 개
- 과학적 주제: 귀리의 건강상 이점
- 정치적 주제: 보편적 기본 소득
연구진들은 각 토론 동안 참여자들의 댓글 작성, 반응, AI 도구 사용 등 개별 수준의 모든 활동 로그를 기록하였다.
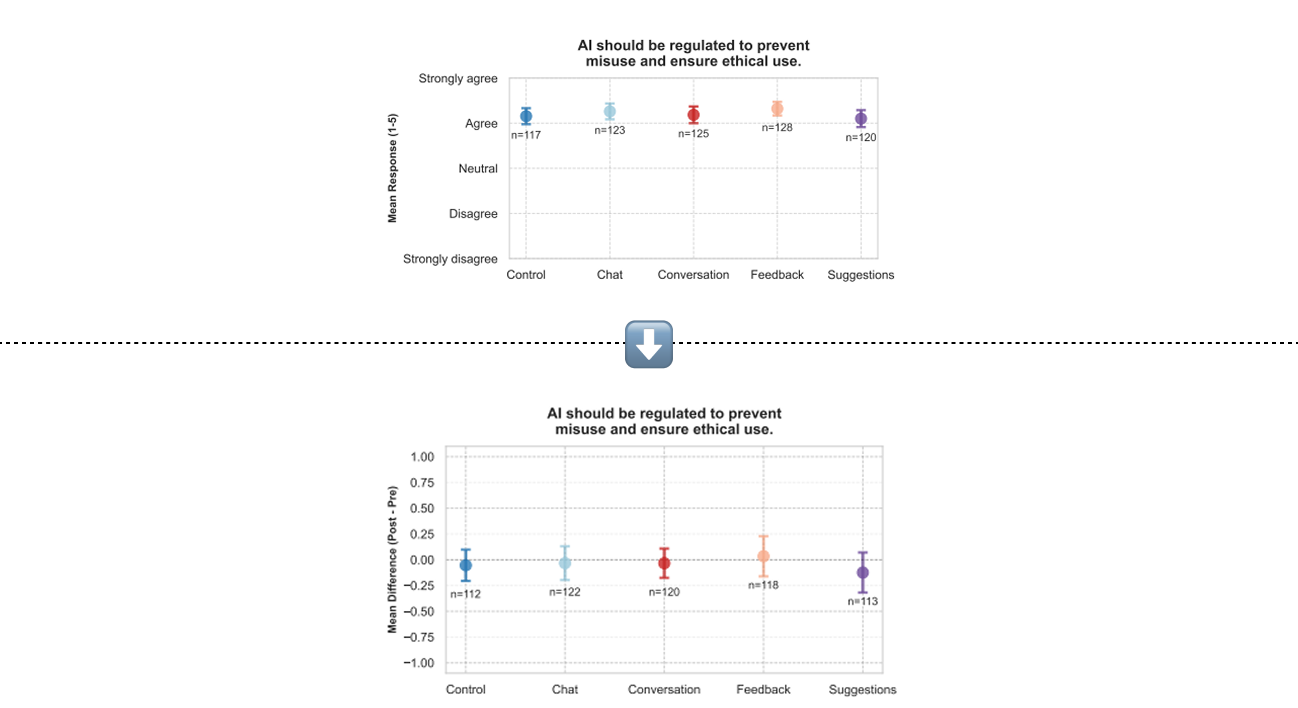
아래는 부트스트래핑 기법을 통해 산출한 실험 전 그룹 간 평균 응답 그리고 실험 후의 차이이다.
Mean Difference가 0보다 작으면 실험 전보다 참여자들의 인식이 부정적으로 변화하였다고 판단하면 된다.
[*], [†] 표시는 대조군인 Control과 비교하였을 때 유의미한 차이가 있음을 나타낸다.

전반적으로 Chat와 Suggestions AI 도구를 사용한 실험군에서 가장 뚜렷한 긍정 변화가 나타나고 있음을 확인할 수 있다.

AI 도구를 활용하면 토론 내용이 덜 유해해지고, 덜 편향되느냐는 질문에는 모두가 이전보다 더 찬성하는 바였다.
그러나 다른 시선으로 보면, 이는 AI를 사용 시 사람들 개개인의 다양한 의견이 나오지 못하고 다소 획일적으로 변한다는 뜻이기도 하다.
Generative AI Platforms의 특징 중 하나로 [Socio-ethical perspectives]가 있다.
이는 방대한 데이터에 기반한 AI 특성상 개발진의 편향이 들어가 있지 않은 이상, 특정 주제에 대해 여러 관점에서 도출된 집단적 이해와 합의를 반영하여 최대한 '지배적인 여론'에 맞춘 스탠스를 취하려는 것을 말한다.
최근 일론이 X에서 직접적으로 언급한 [White Pride]에 대한 차별적 취급을 예로 들 수 있겠다.
This is unfair https://t.co/ggYZWUI6p6
— Elon Musk (@elonmusk) December 19, 2025
"I'm proud to be Black."을 넘어 심지어는 "I'm proud to be Gay."까지 가능하나, "I'm proud to be White."이라는 문장은 백인 우월주의 또는 혐오 발언으로 분류되어 거부되기도 한다.
그러면 만약 커뮤니티 속 인종 관련 토론에서 AI를 도입한다고 했을 때, 백인에게는 불리한 쪽으로 여론이 형성될 수도 있다는 것이다.

AI 도구 활용이 소셜 미디어에서 거짓 정보를 줄일 수 있느냐는 질문에는 사람들의 인식이 눈에 띄게 부정적으로 바뀌었음을 확인할 수 있다.

AI는 규제되어야 하느냐는 질문에 대해서는 모든 실험군이 찬성이었고, 실험 후에도 큰 변화는 없었으나, 아주 미세하게 그 찬성 정도가 조금 약해지기는 했다. 아무래도 유용성을 경험하였기 때문에 이전만큼 규제에 대해 중요하게 생각하지는 않는 듯하다.
종합해 보았을 때, 실험 결과는 장단점이 뚜렷한 '양날의 검'으로 해석할 수 있다고 한다.
| 장점 | 단점 |
| AI 도구를 쓴 사람들이 글을 더 많이 쓰고 대화에 더 적극적으로 참여 |
대화 및 글의 획일화 |
이러한 결과를 바탕으로 연구진은 소셜 미디어 플랫폼, 정책 입안자, 이해관계자를 대상으로 다음 4가지 설계 원칙과 권장 사항을 제안한다.
- AI 생성 콘텐츠의 투명한 표시 보장
- 사용자 중심(UCD)의 개인화된 도구 설계
- 주제와 사용자 의도를 모두 고려하는 맥락 민감성(CS) 반영
- 직관적인 사용자 인터페이스(UI) 우선순위화
The Role of Generative AI in Facilitating Social Interactions: A Scoping Review
위 4가지 설계 원칙으로 앞서 카이스트 연구원이 던진 2가지 질문에 대한 답은 나온 듯하다.
그렇다면 마지막으로 3번 그리고 4번 질문에 대해서 알아보도록 하겠다.
The Role of Generative AI in Facilitating Social Interactions: A Scoping Review
Reduced social connectedness increasingly poses a threat to mental health, life expectancy, and general well-being. Generative AI (GAI) technologies, such as large language models (LLMs) and image generation tools, are increasingly integrated into applicat
arxiv.org
해당 연구에서는 생성형 AI를 커뮤니티 사용자 간의 의사소통을 지원하고, 사회적 연결감을 증진시킬 잠재력을 지닌 기술로 보고, 3가지 리서치 질문을 던진다.
| (1) 현재 사회적 상호작용 촉진을 위해 설계된 GAI 기반 애플리케이션의 종류 |
| (2) GAI가 현재 촉진하고자 하는 사회적 상호작용의 종류 |
| (3) 이러한 GAI 애플리케이션을 설계하고 평가하기 위해 적용된 방법론 |
(1) 현재 사회적 상호작용 촉진을 위해 설계된 GAI 기반 애플리케이션의 종류
| 일반적 형태 | Chatbot |
| 'Embodied' coversational agent | |
| 도구로서 | Mobile Platform powered by an LLM |
| Standalone GAI application |
(2) GAI가 현재 촉진하고자 하는 사회적 상호작용의 종류
| Agent로서 | 매체로서 | 도구로서 |
| 인간과 AI의1:1 상호작용 | 한 사람의 언어적 표현이 어렵거나 물리적 거리가 멀 때 개인 간 상호작용을 지원 | 의사소통 강화 |
(3) 방법론
| 디자인 방법론 | 평가 방법론 |
| 참여적 디자인 | 장기적인 관점에서 AI가 사회적 상호작용을 얼마나 효과적으로 촉진하였는가 |
정리
- 이해관계자가 참여하는 AI 기반 소셜 컴퓨팅 시스템 설계 시의 핵심 고려사항과 당면 과제는 무엇인가?
👉현실적 제약이 있더라도 기획 단계부터 사용자의 니즈와 가치를 반영하는 공동 디자인 워크숍을 지향. 또한 AI 사용 여부를 투명하게 밝히고 사회적 맥락을 해치지 않아야 함.
- 소셜 컴퓨팅 시스템에서 AI는 어느 수준까지 사용되어야 하며, 의도된(또는 잠재적으로 의도치 않은) 결과는 무엇인가?
👉고도화된 개인화를 지원하지만, 역설적으로 커뮤니케이션 스타일이 획일화될 수 있음. (+진정성 결여)
- 이러한 결과들을 평가하고 대처하기 위해 적절한 방법론은 무엇인가?
👉단순한 기능적 효과성 분석을 넘어, 장기적인 사회적 영향과 윤리적 문제를 파악할 수 있는 혼합 연구 방법이 필요.
- 생성형 AI 모델의 등장은 소셜 컴퓨팅 시스템의 지형을 어떻게 변화시켰으며, 어떤 기회가 존재하는가?
👉AI가 일종의 매개체로 등장함에 따라, 언어/심리적 장벽을 가진 사용자들에게 새로운 소통의 기회를 제공.
*썸네일 출처: https://www.interaction-design.org/literature/article/social-computing-101-the-basics
- 컴퓨터 보조 공동 작업(CSCW)은 사람들이 공유된 목표를 달성하기 위해 기술을 어떻게 협력적으로 활용하는지를 연구하는 학문으로, "커뮤니케이션, 업무 조율, 협력, 경쟁, 엔터테인먼트, 게임, 예술, 음악 등 인간의 활동을 매개하기 위해 기술이 사용되는 모든 맥락"을 포괄한다.↩
- 미국 컴퓨터 학회(ACM)가 고안한 컴퓨팅 분야의 주제 분류 체계이다.↩
- ACM 공정성·책임성·투명성 컨퍼런스(ACM FAccT,)는 윤리와 컴퓨팅 시스템을 다루는 동료 심사 학술 컨퍼런스 시리즈이다. 알고리즘 투명성, 머신러닝의 공정성, 편향, 윤리와 같은 문제들을 다학제적 관점에서 집중적으로 조명한다.↩
- ACM 컴퓨팅 시스템의 인적 요소 컨퍼런스(CHI)는 인간-컴퓨터 상호작용(HCI) 분야에서 가장 권위 있는 학술 대회로 널리 인정받고 있다.↩
'자료 분석' 카테고리의 다른 글
| [week26] 미래의 나로부터 온 편지 그리고.. (0) | 2026.01.04 |
|---|---|
| [week25] CHI 2025와 CHI EA 25 속 한국팀 (0) | 2025.12.28 |
| [week23] The era of AI evangelism (Stanford HAI) (0) | 2025.12.20 |
| [week22] NeurIPS 2025 (Stanford AI Lab) (0) | 2025.12.07 |
| [week16] OpenAI DevDay 2025 내용 정리 (0) | 2025.10.17 |